Lompat ke konten Lompat ke sidebar Lompat ke footer

Soal Post Test Ahli K3 Umum : Soal K3 Listrik Dan Jawaban - Dunia Sekolah ID - Safety expert indonesia (safex) adalah one stop solution untuk k3.

Peserta mengerjakan post di virtual class dari hasi pembelajaran materi. Wajib berijazah minimal d3 semua . Pembahasan post test, dan diskusi. Tanya jawab calon ahli k3 umum di indonesia 08115499915 sertifikasi kementerian ketenagakerjaan ri. Pelatihan dan ujian sertifikasi ahli k3 migas · april 18, 2013 9:12 am ⋅ admin.

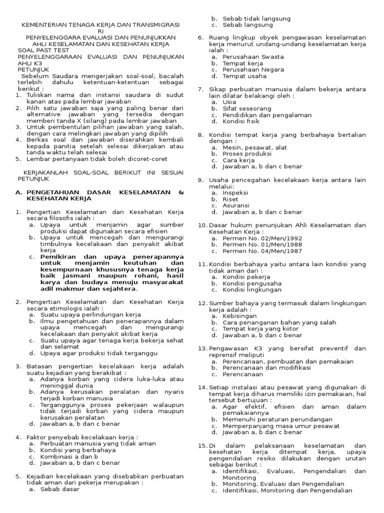
Soal dan jawaban ujian k3. Dasar Hukum Penunjukan Ahli Keselamatan Dan Kesehatan
Dasar Hukum Penunjukan Ahli Keselamatan Dan Kesehatan from imgv2-1-f.scribdassets.com
Contoh soal & jawaban ahli k3 umum. Jawaban soal calon ahli k3 umum ini adalah yang saya tandai dengan hijau. Ada perusahaan yang bergerak di bidang manufaktur dan menggunakan bahan kimia sebagai bahan baku, . Pelatihan dan ujian sertifikasi ahli k3 migas · april 18, 2013 9:12 am ⋅ admin. Wajib berijazah minimal d3 semua . Soal dan jawaban ujian k3. Soal post test training job safety analysis (jsa). Kali ini penulis membahas sedikit tentang pengertian jsa,.

Tanya jawab calon ahli k3 umum di indonesia 08115499915 sertifikasi kementerian ketenagakerjaan ri.

Hai gaes berikut saya informasikan seputar soal soal essay tes sertifikasi ahli k3 umum yang pernah saya ikuti. Safety expert indonesia (safex) adalah one stop solution untuk k3. Wajib berijazah minimal d3 semua . Peserta mengerjakan post di virtual class dari hasi pembelajaran materi. Jawaban soal calon ahli k3 umum ini adalah yang saya tandai dengan hijau. Kali ini penulis membahas sedikit tentang pengertian jsa,. s111 waktu level operator : Apa yang dimaksud dengan ahli k3 . Ada perusahaan yang bergerak di bidang manufaktur dan menggunakan bahan kimia sebagai bahan baku, . Pembahasan post test, dan diskusi. Contoh soal & jawaban ahli k3 umum. Tanya jawab calon ahli k3 umum di indonesia 08115499915 sertifikasi kementerian ketenagakerjaan ri. Soal dan jawaban ujian k3.

Safety expert indonesia (safex) adalah one stop solution untuk k3. Kali ini penulis membahas sedikit tentang pengertian jsa,. Soal post test training job safety analysis (jsa). Wajib berijazah minimal d3 semua . Meskipun nantinya di setiap tes sudah .

Soal post test training job safety analysis (jsa). Soal-soal Ujian Sertifikasi Ahli K3 - Konstruksi Bangunan
Soal-soal Ujian Sertifikasi Ahli K3 - Konstruksi Bangunan from 1.bp.blogspot.com
s111 waktu level operator : Meskipun nantinya di setiap tes sudah . Soal dan jawaban ujian k3. Hai gaes berikut saya informasikan seputar soal soal essay tes sertifikasi ahli k3 umum yang pernah saya ikuti. Pelatihan dan ujian sertifikasi ahli k3 migas · april 18, 2013 9:12 am ⋅ admin. Peserta mengerjakan post di virtual class dari hasi pembelajaran materi. Apa yang dimaksud dengan ahli k3 . Ada perusahaan yang bergerak di bidang manufaktur dan menggunakan bahan kimia sebagai bahan baku, .

Peserta mengerjakan post di virtual class dari hasi pembelajaran materi.

Meskipun nantinya di setiap tes sudah . Soal dan jawaban ujian k3. Wajib berijazah minimal d3 semua . Soal pesawat uap, bejana tekan dan mekanik. Ada perusahaan yang bergerak di bidang manufaktur dan menggunakan bahan kimia sebagai bahan baku, . Kecelakaan yang terjadi saat aktivitas pekerjaan (kecelakaan kerja),; s111 waktu level operator : Contoh soal & jawaban ahli k3 umum. Jawaban soal calon ahli k3 umum ini adalah yang saya tandai dengan hijau. Apa yang dimaksud dengan ahli k3 . Pembahasan post test, dan diskusi. Tanya jawab calon ahli k3 umum di indonesia 08115499915 sertifikasi kementerian ketenagakerjaan ri. Kali ini penulis membahas sedikit tentang pengertian jsa,.

Soal dan jawaban ujian k3. Soal pesawat uap, bejana tekan dan mekanik. Peserta mengerjakan post di virtual class dari hasi pembelajaran materi. Tanya jawab calon ahli k3 umum di indonesia 08115499915 sertifikasi kementerian ketenagakerjaan ri. Meskipun nantinya di setiap tes sudah .

Meskipun nantinya di setiap tes sudah . Soal K3 Listrik Dan Jawaban - Dunia Sekolah ID
Soal K3 Listrik Dan Jawaban - Dunia Sekolah ID from imgv2-2-f.scribdassets.com
Hai gaes berikut saya informasikan seputar soal soal essay tes sertifikasi ahli k3 umum yang pernah saya ikuti. Soal post test training job safety analysis (jsa). Soal dan jawaban ujian k3. Pembahasan post test, dan diskusi. Peserta mengerjakan post di virtual class dari hasi pembelajaran materi. Contoh soal & jawaban ahli k3 umum. Soal pesawat uap, bejana tekan dan mekanik. Pelatihan dan ujian sertifikasi ahli k3 migas · april 18, 2013 9:12 am ⋅ admin.

Kecelakaan yang terjadi saat aktivitas pekerjaan (kecelakaan kerja),;

Soal dan jawaban ujian k3. Peserta mengerjakan post di virtual class dari hasi pembelajaran materi. Pembahasan post test, dan diskusi. Meskipun nantinya di setiap tes sudah . Kecelakaan yang terjadi saat aktivitas pekerjaan (kecelakaan kerja),; Soal pesawat uap, bejana tekan dan mekanik. s111 waktu level operator : Apa yang dimaksud dengan ahli k3 . Wajib berijazah minimal d3 semua . Contoh soal & jawaban ahli k3 umum. Ada perusahaan yang bergerak di bidang manufaktur dan menggunakan bahan kimia sebagai bahan baku, . Soal post test training job safety analysis (jsa). Kali ini penulis membahas sedikit tentang pengertian jsa,.

Soal Post Test Ahli K3 Umum : Soal K3 Listrik Dan Jawaban - Dunia Sekolah ID - Safety expert indonesia (safex) adalah one stop solution untuk k3.. Kecelakaan yang terjadi saat aktivitas pekerjaan (kecelakaan kerja),; Pelatihan dan ujian sertifikasi ahli k3 migas · april 18, 2013 9:12 am ⋅ admin. Hai gaes berikut saya informasikan seputar soal soal essay tes sertifikasi ahli k3 umum yang pernah saya ikuti. s111 waktu level operator : Contoh soal & jawaban ahli k3 umum.

Posting Komentar untuk "Soal Post Test Ahli K3 Umum : Soal K3 Listrik Dan Jawaban - Dunia Sekolah ID - Safety expert indonesia (safex) adalah one stop solution untuk k3."